Today, we pick up on the plan alluded to in the conclusion of the recent Deep attractors: Where deep learning meets chaos : employ that same technique to generate forecasts for empirical time series data.
“That same technique”, which for conciseness, I’ll take the liberty of referring to as FNN-LSTM, is due to William Gilpin’s 2020 paper “Deep reconstruction of strange attractors from time series” (Gilpin 2020).
In a nutshell1, the problem addressed is as follows: A system, known or assumed to be nonlinear and highly dependent on initial conditions, is observed, resulting in a scalar series of measurements. The measurements are not just – inevitably – noisy, but in addition, they are – at best – a projection of a multidimensional state space onto a line.
Classically in nonlinear time series analysis, such scalar series of observations are augmented by supplementing, at every
point in time, delayed measurements of that same series – a technique called delay coordinate embedding (Sauer et al. 1991). For
example, instead of just a single vector X1, we could have a matrix of vectors X1, X2, and X3, with X2 containing
the same values as X1, but starting from the third observation, and X3, from the fifth. In this case, the delay would be
2, and the embedding dimension, 3. Various
theorems
state that if these
parameters are chosen adequately, it is possible to reconstruct the complete state space. There is a problem though: The
theorems assume that the dimensionality of the true state space is known, which in many real-world applications, won’t be the
case.
This is where Gilpin’s idea comes in: Train an autoencoder, whose intermediate representation encapsulates the system’s
attractor. Not just any MSE-optimized autoencoder though. The latent representation is regularized by false nearest
neighbors (FNN) loss, a technique commonly used with delay coordinate embedding to determine an adequate embedding dimension.
False neighbors are those who are close in n-dimensional space, but significantly farther apart in n+1-dimensional space.
In the aforementioned introductory
post
, we showed how this
technique allowed to reconstruct the attractor of the (synthetic) Lorenz system. Now, we want to move on to prediction.
We first describe the setup, including model definitions, training procedures, and data preparation. Then, we tell you how it went.
Setup#
From reconstruction to forecasting, and branching out into the real world#
In the previous post, we trained an LSTM autoencoder to generate a compressed code, representing the attractor of the system. As usual with autoencoders, the target when training is the same as the input, meaning that overall loss consisted of two components: The FNN loss, computed on the latent representation only, and the mean-squared-error loss between input and output. Now for prediction, the target consists of future values, as many as we wish to predict. Put differently: The architecture stays the same, but instead of reconstruction we perform prediction, in the standard RNN way. Where the usual RNN setup would just directly chain the desired number of LSTMs, we have an LSTM encoder that outputs a (timestep-less) latent code, and an LSTM decoder that starting from that code, repeated as many times as required, forecasts the required number of future values.
This of course means that to evaluate forecast performance, we need to compare against an LSTM-only setup. This is exactly what we’ll do, and comparison will turn out to be interesting not just quantitatively, but qualitatively as well.
We perform these comparisons on the four datasets Gilpin chose to demonstrate attractor reconstruction on observational data . While all of these, as is evident from the images in that notebook, exhibit nice attractors, we’ll see that not all of them are equally suited to forecasting using simple RNN-based architectures – with or without FNN regularization. But even those that clearly demand a different approach allow for interesting observations as to the impact of FNN loss.
Model definitions and training setup#
In all four experiments, we use the same model definitions and training procedures, the only differing parameter being the number of timesteps used in the LSTMs (for reasons that will become evident when we introduce the individual datasets).
Both architectures were chosen to be straightforward, and about comparable in number of parameters – both basically consist
of two LSTMs with 32 units (n_recurrent will be set to 32 for all experiments). 2
FNN-LSTM#
FNN-LSTM looks nearly like in the previous post, apart from the fact that we split up the encoder LSTM into two, to uncouple
capacity (n_recurrent) from maximal latent state dimensionality (n_latent, kept at 10 just like before).
|
|
The regularizer, FNN loss, is unchanged:
|
|
Training is unchanged as well, apart from the fact that now, we continually output latent variable variances in addition to
the losses. This is because with FNN-LSTM, we have to choose an adequate weight for the FNN loss component. An “adequate
weight” is one where the variance drops sharply after the first n variables, with n thought to correspond to attractor
dimensionality. For the Lorenz system discussed in the previous post, this is how these variances looked:
V1 V2 V3 V4 V5 V6 V7 V8 V9 V10
0.0739 0.0582 1.12e-6 3.13e-4 1.43e-5 1.52e-8 1.35e-6 1.86e-4 1.67e-4 4.39e-5
If we take variance as an indicator of importance, the first two variables are clearly more important than the rest. This finding nicely corresponds to “official” estimates of Lorenz attractor dimensionality. For example, the correlation dimension is estimated to lie around 2.05 (Grassberger and Procaccia 1983).
Thus, here we have the training routine:
|
|
On to what we’ll use as a baseline for comparison.
Vanilla LSTM#
Here is the vanilla LSTM, stacking two layers, each, again, of size 32. Dropout and recurrent dropout were chosen individually per dataset, as was the learning rate.
|
|
Data preparation#
For all experiments, data were prepared in the same way.
In every case, we used the first 10000 measurements available in the respective .pkl files
provided by Gilpin in his GitHub
repository
. To save on file size and not depend on an external
data source, we extracted those first 10000 entries to .csv files downloadable directly from this blog’s repo:
|
|
Should you want to access the complete time series (of considerably greater lengths), just download them from Gilpin’s repo
and load them using reticulate:
|
|
Here is the data preparation code for the first dataset, geyser - all other datasets were treated the same way.
|
|
Now we’re ready to look at how forecasting goes on our four datasets.
Experiments#
Geyser dataset#
People working with time series may have heard of Old Faithful , a geyser in Wyoming, US that has continually been erupting every 44 minutes to two hours since the year 2004. For the subset of data Gilpin extracted3,
geyser_train_test.pklcorresponds to detrended temperature readings from the main runoff pool of the Old Faithful geyser in Yellowstone National Park, downloaded from the GeyserTimes database . Temperature measurements start on April 13, 2015 and occur in one-minute increments.
Like we said above, geyser.csv is a subset of these measurements, comprising the first 10000 data points. To choose an
adequate timestep for the LSTMs, we inspect the series at various resolutions:
It seems like the behavior is periodic with a period of about 40-50; a timestep of 60 thus seemed like a good try.
Having trained both FNN-LSTM and the vanilla LSTM for 200 epochs, we first inspect the variances of the latent variables on
the test set. The value of fnn_multiplier corresponding to this run was 0.7.
|
|
V1 V2 V3 V4 V5 V6 V7 V8 V9 V10
0.258 0.0262 0.0000627 0.000000600 0.000533 0.000362 0.000238 0.000121 0.000518 0.000365
There is a drop in importance between the first two variables and the rest; however, unlike in the Lorenz system, V1 and
V2 variances also differ by an order of magnitude.
Now, it’s interesting to compare prediction errors for both models. We are going to make an observation that will carry through to all three datasets to come.
Keeping up the suspense for a while, here is the code used to compute per-timestep prediction errors from both models. The same code will be used for all other datasets.
|
|
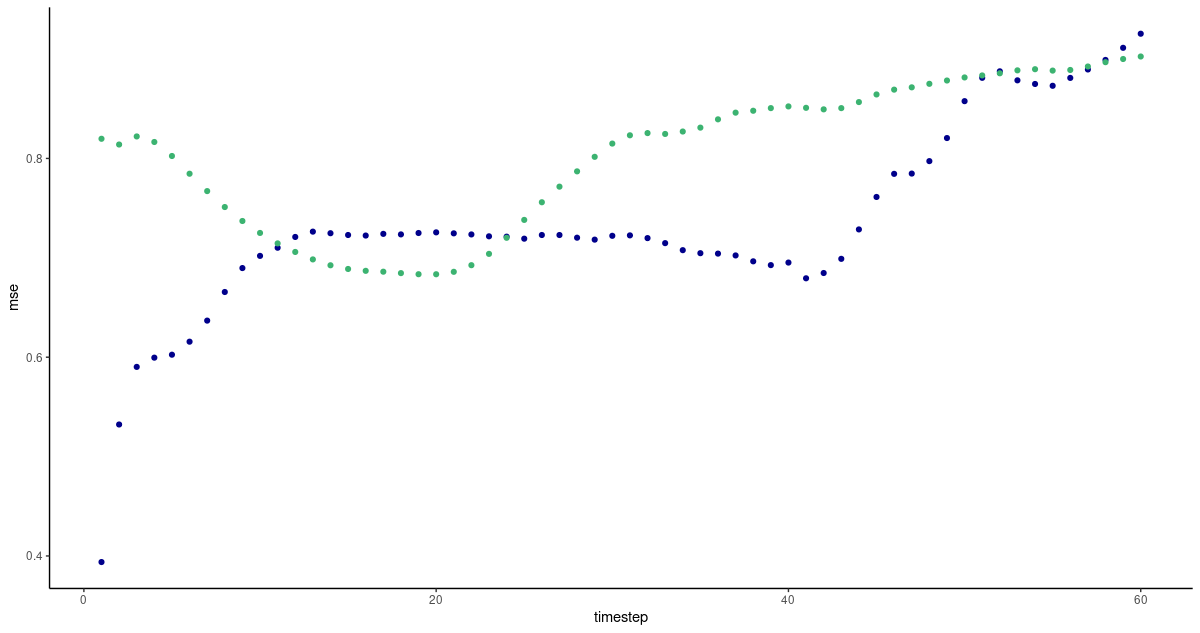
And here is the actual comparison. One thing especially jumps to the eye: FNN-LSTM forecast error is significantly lower for initial timesteps, first and foremost, for the very first prediction, which from this graph we expect to be pretty good!
Interestingly, we see “jumps” in prediction error, for FNN-LSTM, between the very first forecast and the second, and then between the second and the ensuing ones, reminding of the similar jumps in variable importance for the latent code! After the first ten timesteps, vanilla LSTM has caught up with FNN-LSTM, and we won’t interpret further development of the losses based on just a single run’s output.
Instead, let’s inspect actual predictions. We randomly pick sequences from the test set, and ask both FNN-LSTM and vanilla LSTM for a forecast. The same procedure will be followed for the other datasets.
|
|
Here are sixteen random picks of predictions on the test set. The ground truth is displayed in pink; blue forecasts are from FNN-LSTM, green ones from vanilla LSTM.
What we expect from the error inspection comes true: FNN-LSTM yields significantly better predictions for immediate continuations of a given sequence.
Let’s move on to the second dataset on our list.
Electricity dataset#
This is a dataset on power consumption, aggregated over 321 different households and fifteen-minute-intervals.
electricity_train_test.pklcorresponds to average power consumption by 321 Portuguese households between 2012 and 2014, in units of kilowatts consumed in fifteen minute increments. This dataset is from the UCI machine learning database . 4
Here, we see a very regular pattern:
With such regular behavior, we immediately tried to predict a higher number of timesteps (120) – and didn’t have to retract
behind that aspiration.
For an fnn_multiplier of 0.5, latent variable variances look like this:
V1 V2 V3 V4 V5 V6 V7 V8 V9 V10
0.390 0.000637 0.00000000288 1.48e-10 2.10e-11 0.00000000119 6.61e-11 0.00000115 1.11e-4 1.40e-4
We definitely see a sharp drop already after the first variable.
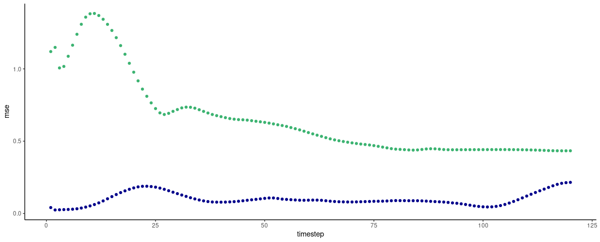
How do prediction errors compare on the two architectures?
Here, FNN-LSTM performs better over a long range of timesteps, but again, the difference is most visible for immediate predictions. Will an inspection of actual predictions confirm this view?
It does! In fact, forecasts from FNN-LSTM are very impressive on all time scales.
Now that we’ve seen the easy and predictable, let’s approach the weird and difficult.
ECG dataset#
Says Gilpin,
ecg_train.pklandecg_test.pklcorrespond to ECG measurements for two different patients, taken from the PhysioNet QT database . 5
How do these look?
To the layperson that I am, these do not look nearly as regular as expected. First experiments showed that both architectures are not capable of dealing with a high number of timesteps. In every try, FNN-LSTM performed better for the very first timestep.
This is also the case for n_timesteps = 12, the final try (after 120, 60 and 30). With an fnn_multiplier of 1, the
latent variances obtained amounted to the following:
V1 V2 V3 V4 V5 V6 V7 V8 V9 V10
0.110 1.16e-11 3.78e-9 0.0000992 9.63e-9 4.65e-5 1.21e-4 9.91e-9 3.81e-9 2.71e-8
There is a gap between the first variable and all other ones; but not much variance is explained by V1 either.
Apart from the very first prediction, vanilla LSTM shows lower forecast errors this time; however, we have to add that this was not consistently observed when experimenting with other timestep settings.
Looking at actual predictions, both architectures perform best when a persistence forecast is adequate – in fact, they produce one even when it is not.
On this dataset, we certainly would want to explore other architectures better able to capture the presence of high and low frequencies in the data, such as mixture models. But – were we forced to stay with one of these, and could do a one-step-ahead, rolling forecast, we’d go with FNN-LSTM.
Speaking of mixed frequencies – we haven’t seen the extremes yet …
Mouse dataset#
“Mouse”, that’s spike rates recorded from a mouse thalamus.
mouse.pklA time series of spiking rates for a neuron in a mouse thalamus. Raw spike data was obtained from CRCNS and processed with the authors' code in order to generate a spike rate time series. 6
Obviously, this dataset will be very hard to predict. How, after “long” silence, do you know that a neuron is going to fire?
As usual, we inspect latent code variances (fnn_multiplier was set to 0.4):
|
|
Again, we don’t see the first variable explaining much variance. Still, interestingly, when inspecting forecast errors we get
a picture very similar to the one obtained on our first, geyser, dataset:
So here, the latent code definitely seems to help! With every timestep “more” that we try to predict, prediction performance goes down continuously – or put the other way round, short-time predictions are expected to be pretty good!
Let’s see:
In fact on this dataset, the difference in behavior between both architectures is striking. When nothing is “supposed to happen”, vanilla LSTM produces “flat” curves at about the mean of the data, while FNN-LSTM takes the effort to “stay on track” as long as possible before also converging to the mean. Choosing FNN-LSTM – had we to choose one of these two – would be an obvious decision with this dataset.
Discussion#
When, in timeseries forecasting, would we consider FNN-LSTM? Judging by the above experiments, conducted on four very different datasets: Whenever we consider a deep learning approach. Of course, this has been a casual exploration – and it was meant to be, as – hopefully – was evident from the nonchalant and bloomy (sometimes) writing style.
Throughout the text, we’ve emphasized utility – how could this technique be used to improve predictions? But, looking at the above results, a number of interesting questions come to mind. We already speculated (though in an indirect way) whether the number of high-variance variables in the latent code was relatable to how far we could sensibly forecast into the future. However, even more intriguing is the question of how characteristics of the dataset itself affect FNN efficiency.
Such characteristics could be:
-
How nonlinear is the dataset? (Put differently, how incompatible, as indicated by some form of test algorithm, is it with the hypothesis that the data generation mechanism was a linear one?)
-
To what degree does the system appear to be sensitively dependent on initial conditions? In other words, what is the value of its (estimated, from the observations) highest Lyapunov exponent ?
-
What is its (estimated) dimensionality, for example, in terms of correlation dimension ?
While it is easy to obtain those estimates, using, for instance, the nonlinearTseries package explicitly modeled after practices described in Kantz & Schreiber’s classic (Kantz and Schreiber 2004), we don’t want to extrapolate from our tiny sample of datasets, and leave such explorations and analyses to further posts, and/or the interested reader’s ventures :-). In any case, we hope you enjoyed the demonstration of practical usability of an approach that in the preceding post, was mainly introduced in terms of its conceptual attractivity.
Thanks for reading!
Gilpin, William. 2020. Deep Reconstruction of Strange Attractors from Time Series. https://arxiv.org/abs/2002.05909 .
Grassberger, Peter, and Itamar Procaccia. 1983. “Measuring the Strangeness of Strange Attractors.” Physica D: Nonlinear Phenomena 9 (1): 189–208. https://doi.org/ https://doi.org/10.1016/0167-2789(83)90298-1 .
Kantz, Holger, and Thomas Schreiber. 2004. Nonlinear Time Series Analysis. Cambridge University Press.
Sauer, Tim, James A. Yorke, and Martin Casdagli. 1991. “Embedology.” Journal of Statistical Physics 65 (3-4): 579–616. https://doi.org/10.1007/BF01053745 .
-
Please refer to the aforementioned predecessor post for a detailed introduction. ↩︎
-
“Basically” because FNN-LSTM technically has three LSTMs – the third one, with
n_latent = 10units, being used to store the latent code. ↩︎ -
see dataset descriptions in the repository's README ↩︎
